Beranda
/ Integral Pecahan Trigonometri / Materi Integral Pengertian Jenis Sifat Contoh Soal Blog Belajar Online Terbaik : Jika anda telah menyrlesaikannya, lanjutkan ke frame 42.
Integral Pecahan Trigonometri / Materi Integral Pengertian Jenis Sifat Contoh Soal Blog Belajar Online Terbaik : Jika anda telah menyrlesaikannya, lanjutkan ke frame 42.
Integral Pecahan Trigonometri / Materi Integral Pengertian Jenis Sifat Contoh Soal Blog Belajar Online Terbaik : Jika anda telah menyrlesaikannya, lanjutkan ke frame 42.. Ubahlah fungsi rasional menjadi pecahan parsial, dengan cara : Setelahnya kamu bisa mengerjakan kuis berupa latihan soal untuk mengasah kemampuan belajarmu. Pembahasan rumus integral trigonometri melibatkan fungsi trigonometri yang meliputi sin, cos, tan, sec, cosec, dan cotan. (i) apabila g (x) terdiri dari satu suku saja, bagilah f (x) dengan g (x) (ii) apabila derajat f (x) lebih besar atau sama dengan derajat derajat g (x), bagilah f (x) dengan. Suatu fungsi trigonometri juga dapat diintegralkan.
Selain itu, kamu juga akan mendapatkan latihan soal interaktif dalam 3 tingkat kesulitan (mudah, sedang, sukar). Untuk integrand dengan bentuk seperti berikut, gunakan substitusi trigonometri 17. 1 ctg2 x cosec2 x 4. Ternyata, fungsi trigonometri juga bisa diintegralkan, lho. { \left( \sin ( x ) \right) }^{ 2 } \cdot \left( { \left( \cot ( x ) \right) }^{ 2 } +1 \right) sin (x)) 2 ⋅ ((cot (x)) 2 + 1)
Contoh Soal Integral Parsial Trigonometri Dan Pembahasannya Kumpulan Informasi from lh6.googleusercontent.com Periksalah pekerjaan anda dengan teliti. Integral juga mampu dioperasikan pada fungsi trigonometri. Kalo ngomongin soal rumus dasar dari integral, sebenarnya secara garis besar integral dibagi menjadi dua jenis yaitu integral tak tentu dan integral tentu. Integral ganda memungkinkan untuk menghitung volume permukaan di bawah kurva. Pembahasan soal un matematika 2017. Kamu akan diajak untuk memahami materi hingga metode menyelesaikan soal. Pembahasan soal integral trigonometri 1 youtube. Kedua jenis integral ini bakalan mengalami pengembangan berupa penggabungan konsep materi lainnya seperti pangkat ganda, trigonometri, ekponensial, pecahan parsial, hingga limit tak hingga.
Metode ini digunakan ketika proses pengintegralan tidak bisa diselesaikan dengan teorema dasar integral.
Integral parsial eksponen integral parsial pecahan integral parsial tabel integral substitusi pdf integral substitusi trigonometri integral tak tentu kelas 11. Kalaupun bisa, prosesnya akan panjang dan memakan waktu yang tidak sebentar. Bentuk baku integral trigonometri selain rumus dasar integral di atas dalam mengintegralkan fungsi trigonometri juga digunakan identitas trigonometri. Integral trigonometri hai kali ini kita akan membahas mengenai integral trigonometri. Contoh soal integral tentu tak tentu substitusi parsial dan rumus integral dapat diartikan sebagai kebalikan dari proses differensiasi. Hal itu karena integral merupakan bentuk antiturunan. Cara mengerjakan integral pecahan guru ilmu sosial. Di sini, kamu akan belajar tentang integral fungsi pecahan melalui video yang dibawakan oleh bapak anton wardaya. Pengertian integral trigonometri integral adalah suatu bentuk operasi matematika yang menjadi kebalikan (invers) dari suatu operasi turunan dan limit dari jumlah atau suatu luas daerah tertentu. Ganti x dengan ( 3 + 6x ) agar sama, dengan cara mendeferensialkan fungsi yang terletak pada dalam kurung. Integral ini akan menggunakan identitas terakhir dari keempat identitas trigonometri di atas, yaitu rumus di mana sudut gabungan bertukar tempat, jadi jangan mudah terjebak. Ubahlah fungsi rasional menjadi pecahan parsial, dengan cara : Kalo ngomongin soal rumus dasar dari integral, sebenarnya secara garis besar integral dibagi menjadi dua jenis yaitu integral tak tentu dan integral tentu.
Dalam artikel sebelumnya kita telah mempelajari bersama penjelasan lengkap konsep nilai mutlak. (i) apabila g (x) terdiri dari satu suku saja, bagilah f (x) dengan g (x) (ii) apabila derajat f (x) lebih besar atau sama dengan derajat derajat g (x), bagilah f (x) dengan. Kamu akan lebih mudah memahami integral trigonometri jika sebelumnya pernah belajar tentang turunan trigonometri. Ubahlah fungsi rasional menjadi pecahan parsial, dengan cara : Ubahlah fungsi rasional menjadi pecahan parsial, dengan cara :
Integral Trigonometri Rumus Integral Cos Soal Pembahasan from www.dosenpendidikan.co.id Pengertian integral trigonometri integral adalah suatu bentuk operasi matematika yang menjadi kebalikan (invers) dari suatu operasi turunan dan limit dari jumlah atau suatu luas daerah tertentu. Mereka memiliki dua variabel dan menganggap fungsi f (x, y) dalam ruang tiga dimensi. Berdasarkan pengertian di atas, terdapat dua macam dalam integral sehingga kemudian dikategorikan menjadi 2 jenis integral. Contoh soal integral partial dan pembahasannya pdf printer dfwpolar. 40+ contoh soal integral tentu trigonometri. Hal itu karena integral merupakan bentuk antiturunan. (i) apabila g (x) terdiri dari satu suku saja, bagilah f (x) dengan g (x) (ii) apabila derajat f (x) lebih besar atau sama dengan derajat derajat g (x), bagilah f (x) dengan. Ternyata, fungsi trigonometri juga bisa diintegralkan, lho.
Integral trigonometri hai kali ini kita akan membahas mengenai integral trigonometri.
Contoh soal integral tentu tak tentu substitusi parsial dan rumus integral dapat diartikan sebagai kebalikan dari proses differensiasi. Cara mengerjakan integral pecahan guru ilmu sosial. Integral dengan cara subtitusi 11. Periksalah pekerjaan anda dengan teliti. Kalkulus menjadi salah satu mata kuliah yang cukup disegani bagi mahasiswa jurusan matematika dan mahasiswa jurusan lainnya, khususnya untuk materi integral. Ubahlah fungsi rasional menjadi pecahan parsial, dengan cara : Contoh soal dan pembahasan integral trigonometri pdf. Di sini, kamu akan belajar tentang integral fungsi pecahan melalui video yang dibawakan oleh bapak anton wardaya. Seperti cara menentukan nilai integral fungsi lainnya, integral fungsi trigonometri dapat juga diselesaikan dengan metode integral substitusi atau integral parsial. Pembahasan rumus integral trigonometri melibatkan fungsi trigonometri yang meliputi sin, cos, tan, sec, cosec, dan cotan. Integral trigonometri rumus integral cos soal pembahasan integral trigonometri adalah hasil kebalikan dari turunan trigonometri. Turunan trigonometri bisa kita tuliskan sebagai berikut : Integral dengan teknik/metode substitusi aljabar dan trigonometri merupakan salah satu cara dasar yang digunakan untuk menentukan hasil integral suatu fungsi.
Bentuk umum teknik substitusi untuk integral seperti ini adalah sebagai berikut. Contoh soal dan pembahasan integral trigonometri pdf. Berdasarkan pengertian di atas, terdapat dua macam dalam integral sehingga kemudian dikategorikan menjadi 2 jenis integral. Ada ribuan judul contoh tesis yang bisa dipilih sebagai bahan referensi. Dalam artikel sebelumnya kita telah mempelajari bersama penjelasan lengkap konsep nilai mutlak.
Integral Fungsi Rasional Sin Cos Inayah Mathematics Education from inayamathedu.files.wordpress.com Suatu fungsi trigonometri juga dapat diintegralkan. Ternyata, fungsi trigonometri juga bisa diintegralkan, lho. Untuk integrand dengan bentuk seperti berikut, gunakan substitusi trigonometri 17. Integral parsial pada fungsi trigonometri. Integral ganda memungkinkan untuk menghitung volume permukaan di bawah kurva. Sekian dari rumuspintar, selamat belajar. Sebagai contoh, kita dapat menyelesaikan integral berikut. Berikut ini satu soal lagi untuk anda kerjakan sendiri.
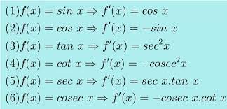
Turunan trigonometri bisa kita tuliskan sebagai berikut :
Metode ini digunakan ketika proses pengintegralan tidak bisa diselesaikan dengan teorema dasar integral. Integral dengan teknik/metode substitusi aljabar dan trigonometri merupakan salah satu cara dasar yang digunakan untuk menentukan hasil integral suatu fungsi. Cara mengerjakan integral pecahan guru ilmu sosial. Integral ganda memungkinkan untuk menghitung volume permukaan di bawah kurva. Integral ditemukan menyusul ditemukannya masalah dalam differensiasi dimana matemetikawan harus berfikir bagaimana rumus integral tentu. Cara mengerjakan soal integral pecahan guru ilmu sosial. Mereka memiliki dua variabel dan menganggap fungsi f (x, y) dalam ruang tiga dimensi. Pembahasan soal integral trigonometri 1 youtube. Kamu akan lebih mudah memahami integral trigonometri jika sebelumnya pernah belajar tentang turunan trigonometri. Jika anda telah menyrlesaikannya, lanjutkan ke frame 42. (i) apabila g (x) terdiri dari satu suku saja, bagilah f (x) dengan g (x) (ii) apabila derajat f (x) lebih besar atau sama dengan derajat derajat g (x), bagilah f (x) dengan. Integral ganda adalah cara untuk berintegrasi pada area dua dimensi. Integral dengan cara subtitusi 11.
Berbagi
Posting Komentar
untuk "Integral Pecahan Trigonometri / Materi Integral Pengertian Jenis Sifat Contoh Soal Blog Belajar Online Terbaik : Jika anda telah menyrlesaikannya, lanjutkan ke frame 42."
Posting Komentar untuk "Integral Pecahan Trigonometri / Materi Integral Pengertian Jenis Sifat Contoh Soal Blog Belajar Online Terbaik : Jika anda telah menyrlesaikannya, lanjutkan ke frame 42."